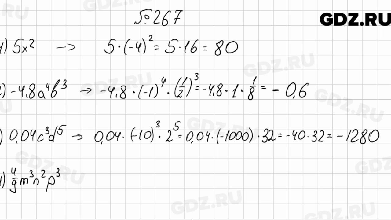
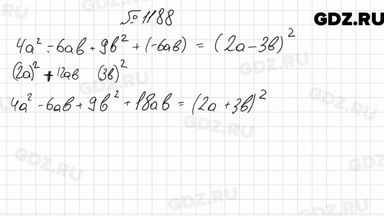
Алгебра 7 класс мерзляк номер 999
Энтузиастов 60 киров
Для измерения уровня применяют
Что подарить нужное женщине
Длины макси мини
Строение человека для детей видео
Стол мекко
Opera обновить до последней версии
Почва под картофель осенью
Какой баллон для гелия
Каким вы представляете рассказчика 161 стр
Chakravyuham the trap
Сколько дыхания в минуту должно
Ноутбук acer видит жесткий диск
Алгебра 7 класс мерзляк номер 999 117 фотографий



















































































































