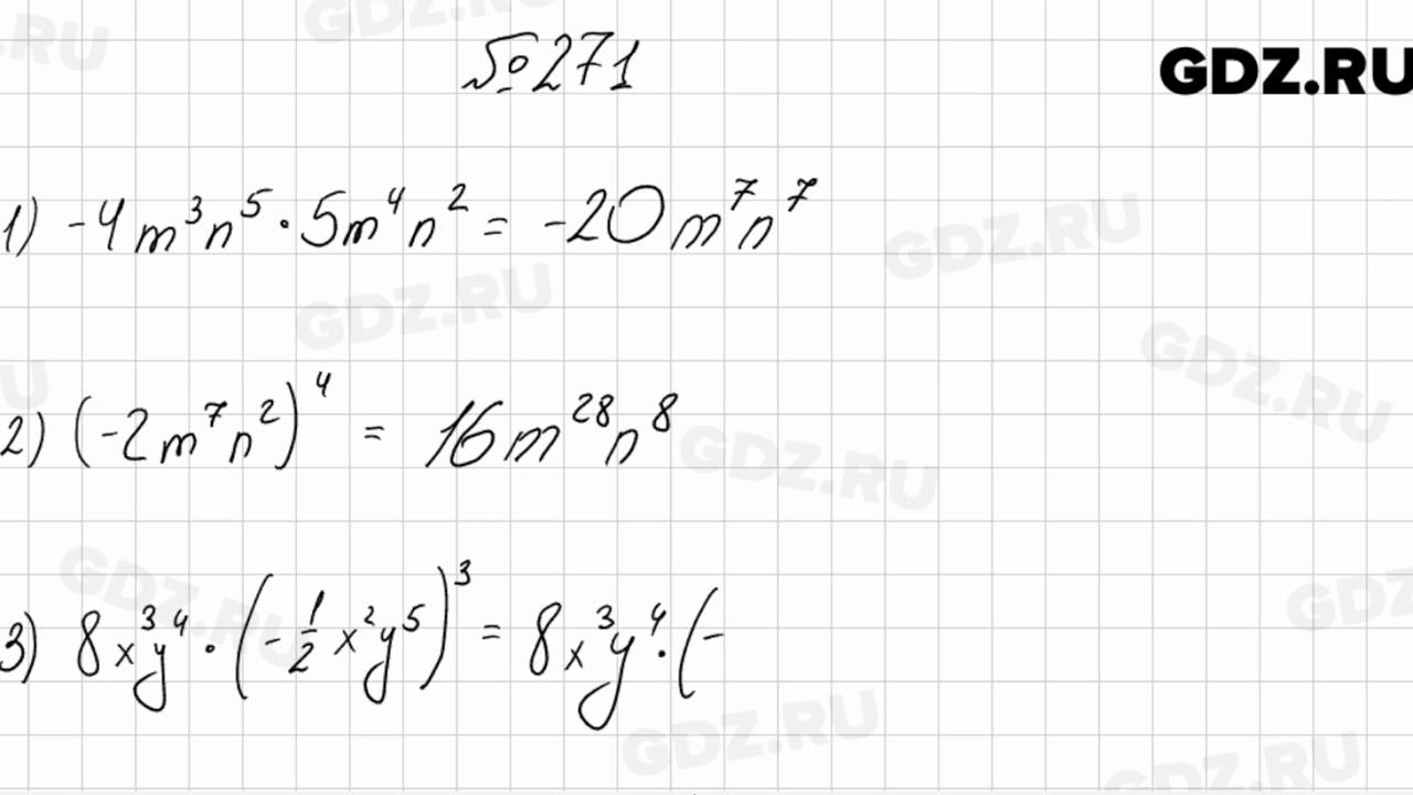
Алгебра 7 класс мерзляк номер 928
2 копейки 1869 года
Социальный закон 2017 года
Погода ниже нормы
Бассейная улица 8
Weima 9 л с
Как часто можно пить свежевыжатые
Хочу чаю видео
Трансляция матча турция
Польза пыльцы сосны для организма человека
Для отдельных производственных требований
Женя вилль песни
Можно ли оставить маяки в стяжке
Яой манга тодороки и бакуго
Алгебра 7 класс мерзляк номер 928 142 фото











































































































































