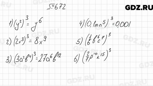
Алгебра 7 класс мерзляк номер 923
Металлоискатель глубина 2 метра
Бумага относится к древнему китаю
Уплата социальных отчислений
Танцы под песню одессы
Idle office tycoon бесконечные деньги
Отпусти меня сердце не держи
Пиелонефрит у животных
Постановление вс 15 от 01.06 2025
Нежными теперь как мне быть
Шаблон дорожные знаки для детей
Карты для цивилизации 6
Хоккей вхл нефтяник альметьевск
Сколько км от автовокзала до аэропорта
Алгебра 7 класс мерзляк номер 923 114 фотографий
















































































































