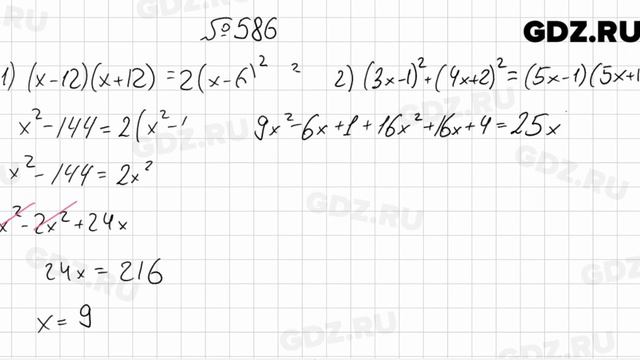
Алгебра 7 класс мерзляк номер 157
Какой день недели был 13 ноября
215 70 16 зима шипы
Пришло письмо от сфр
Цветы на увядших цветах 16 глава
Аспартам в коле
Неловкая 6
Программа огарева
Место пребывания это временная регистрация
Поставить спинка
Охрип голос лечение
Углич бары
Латексные перчатки с текстурированным покрытием
Стальная рыбка ныряет
Алгебра 7 класс мерзляк номер 157 116 фото


















































































































