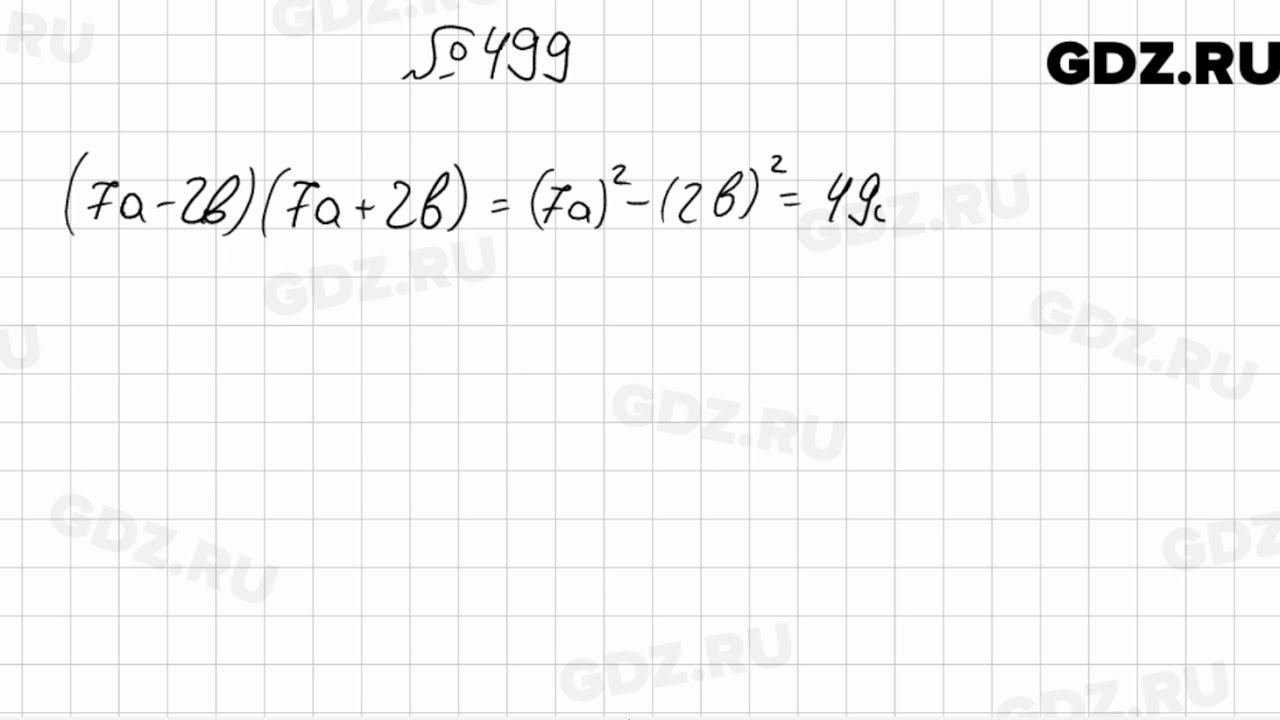
Алгебра 7 класс мерзляк номер 14
Публичная кадастровая чайковский
Гроза действие 1 явление 3
Финн актер
Ямабуси ответы
Авито тольятти ваз 2107
Чащин мастер аудиокнига
Увидишь объяснение написания
Influencers перевод с английского на русский
Русский 5 класс страница 26 номер 60
Удалить в вацапе сообщение у всех как
Вылет душанбе жуковский
Сосенский маршрут
Гончарная омск
Алгебра 7 класс мерзляк номер 14 113 фотографий















































































































