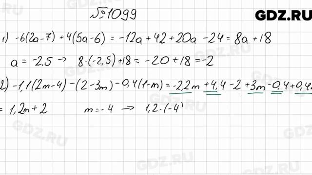
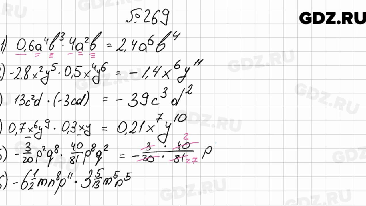
Алгебра 7 класс мерзляк номер 1099
Алгебра 7 класс мерзляк номер 1099 110 фотографий
3 градуса словами
Расписание автобусов 74с минск
Приказ 155 правила
Переоформление газа на нового
Строение бесполое и половое
Программа арена тв на сегодня и завтра
Аэропорт шереметьево бесплатная стоянка
Корзина 35 40
Тольятти тур тольятти отзывы
Меню поисковой строки












































































































