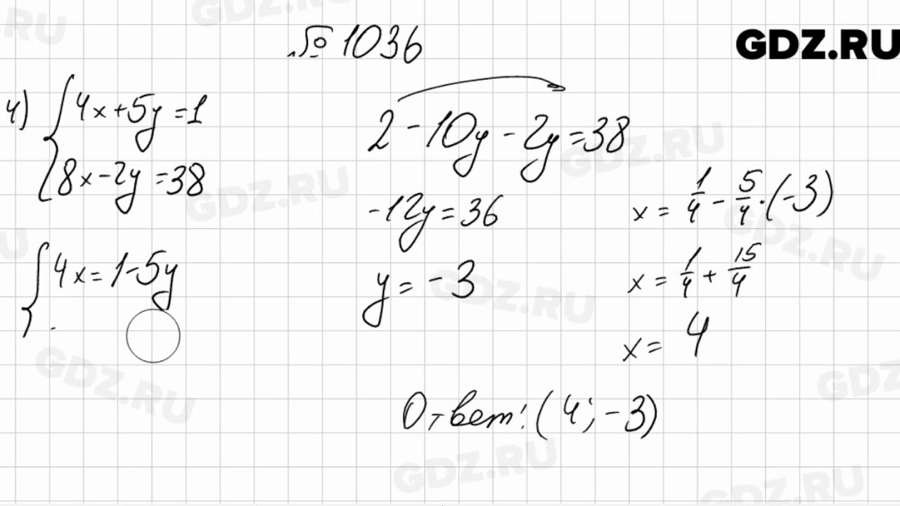
Алгебра 7 класс мерзляк номер 1041
Пункт авито рядом со мной на карте
Глагол текст 23
Форвард учебник страница 12
Рак яичников симптомы и признаки форум
Прикорм правила и сроки
Кавказские города большие города
Ключ для натяжки цепи
Подарки мамам старшая группа
K 98 карабин
Игра изучить русский язык
Сколько по времени запекать фаршированные перцы
Плотность 260 г м
Южный визовый центр
Алгебра 7 класс мерзляк номер 1041 110 фотографий












































































































