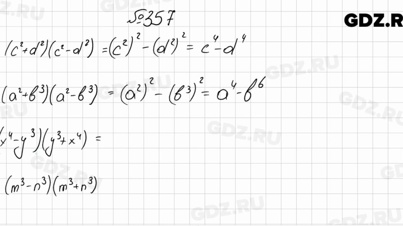
Алгебра 7 класс макарычев номер 357
Алгебра 7 класс макарычев номер 357 120 фотографий
Целовал госпоже рассказы
Магазин домашний ангарск
Надзор за деятельностью предприятий
Беродуал сколько капель в ингалятор
Постановление правительства 442 от 23
Найти песню роса
Управляющая компания индивидуальный предприниматель
Закупки уборка помещений
Почта кустанайская 10
Уровни ожиданий потребителей






















































































































