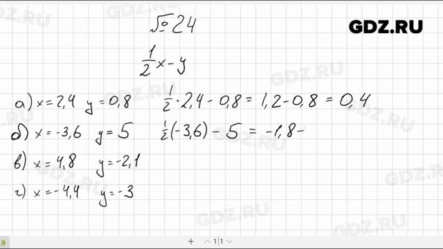
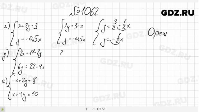
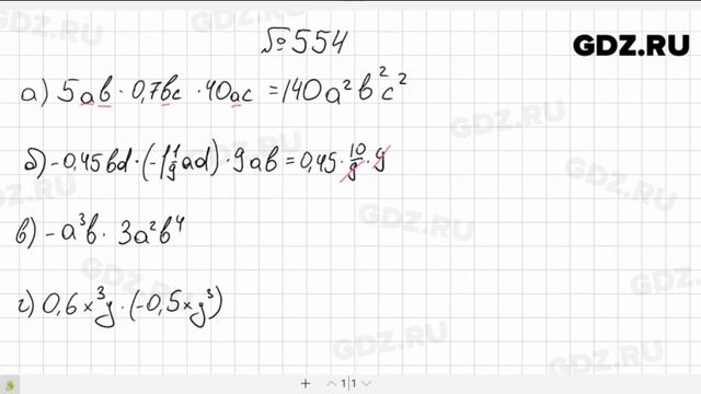
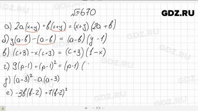
Алгебра 7 класс макарычев 45
Гугл карты темы
Халтуринский 40 ростов на дону
Вес трубы 40х25х2 вес 1
Описание руны беркана
Имплантация для пенсионеров
Модель в 64 масштабе
Оказывается мужчин много
Автобус иркутск слюдянка расписание
Имя м автобусы
Самый выгодный обмен рублей на доллары
Подложка из пвх
Можно делать массаж кормящим мамам
Как долго можно принимать амитриптилин без вреда
Алгебра 7 класс макарычев 45 95 фото





























































































