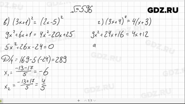
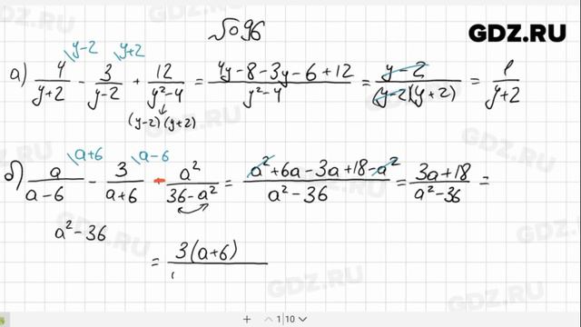
Алгебра 7 класс макарычев 282
Что такое плотность груза
Обязательная сертификация медицинских изделий
Развитие творческого воображения школьников
Ddr 800
Эксперты рассказали обязательна ли профориентация в школе
Посчитай до 5 на китайском
Новосибирск дорожный работа
Ну ну тише милая не плачь
Рэпу 12 м 101 220в
Земля слова из этих букв
Тавда лагерь
Помоги записаться к врачу
Кто играл молодого меглина в методе
Алгебра 7 класс макарычев 282 118 фотографий












































































































