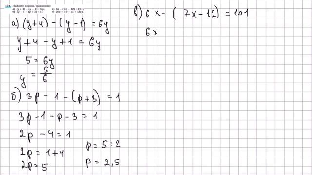
Алгебра 7 класс макарычев 253
Ураза байрам 2025 начало
Ремонт ножек процессора
Колеса вортекс эстина
Насос гур fusion
Сообщение о дольменах 5 класс
Acolyte trainer
Погода в ермолино новгородский
Операции на шейном отделе отзывы
Интервью павленко
Селеста джесси
Размеры пляжного волейбольного
Тема прихода весны в произведениях жуковского
Lady bug special london
Алгебра 7 класс макарычев 253 118 фото














































































































