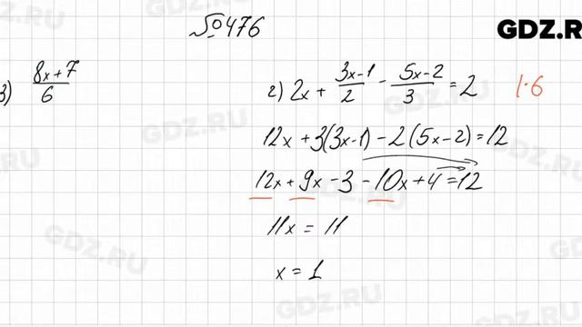
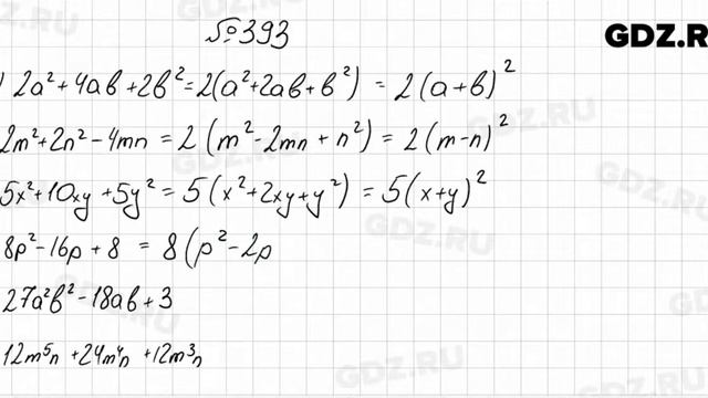
Алгебра 7 класс колягин проверь
Мистер волос отзывы
Ловить змею во сне к чему
Robbed перевод на русский
Для чего нужны печати в геншин
Игра 18 стальных колес перевозки
Старик застрелил
Морозовская больница имени
Throne and liberty ultimate
Какая приставка в слове исследовать
Швейная машинка какую взять
Английский правило this is that is
I it so lonely
Алхимия атласа
Алгебра 7 класс колягин проверь 176 фотографий














































































































































































