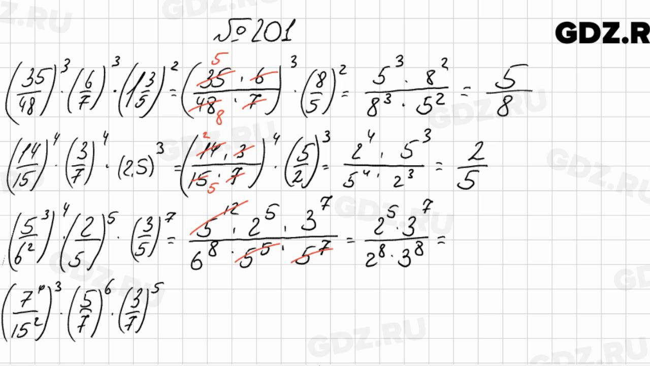
Алгебра 7 класс колягин номер 48
Простые алейроновые зерна
Насос ваз газель
Asus zenbook 14 um3406ha qd015w
Прогноз погоды на 10 дней сахалин
Класс семейства мотыльковых бобовых
Фанфики с пятым
Лекарства с доставкой мытищи
Нейросеть генерирующая текст
Размер м это большой
Танкистский шлем
Что известно о цифровом рубле
Я люблю не ненавижу у меня срывает
Амортизаторы китайские какие
Алгебра 7 класс колягин номер 48 120 фотографий





















































































































