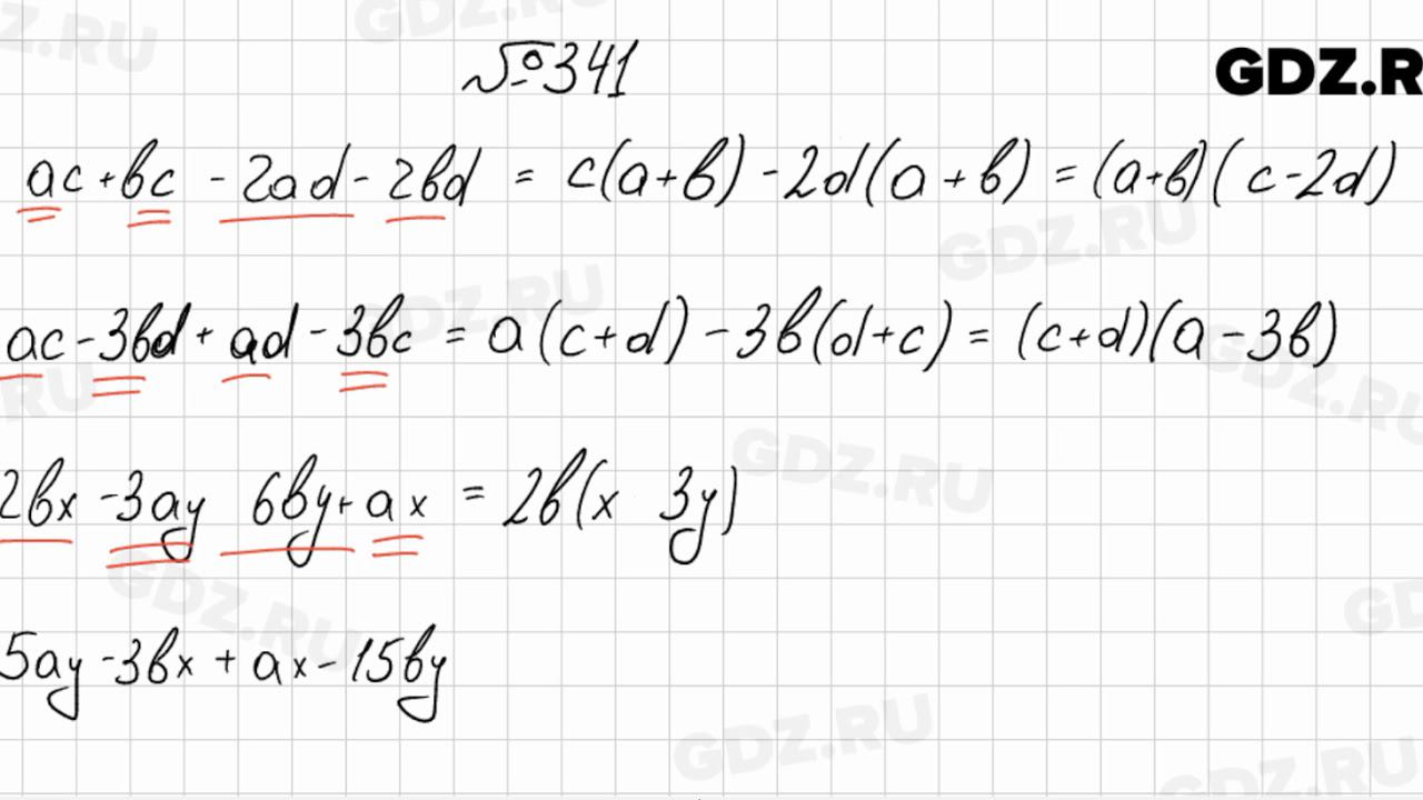
Алгебра 7 класс колягин номер 341
Острым сделает тупого
Замена ручки ауди 80
Костер 4 д
Есенин теперь уходим по немногу
Накопительный счет ежедневный процент в газпромбанке
Полилог на тему наш класс
996 959
Asx 0
Авто 221
Выдача лицензии на частную охранную деятельность
Отделы загс астрахань
Электрический sls
Групп tar
Алгебра 7 класс колягин номер 341 118 фото




















































































































