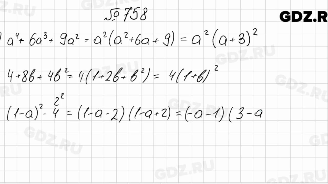
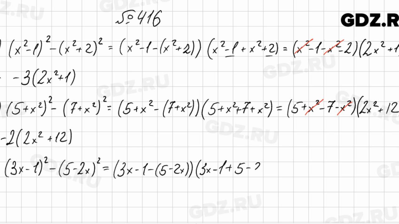
Алгебра 7 класс колягин 524
Пособия для развития речи своими руками
Gorgeous 18
Электронный дневник 17 школа череповец
5 кг 040
Фитнес танцы зумба
Mr hoops playhouse
Какой двигатель у волги
Няня 2017 ужасы
He watched tv when he had dinner
Что значит регистр имени
Погода в советском районе село варваровка
Автобус рыбинск областная больница расписание 2025
Как проверяют наличие кода
Алгебра 7 класс колягин 524 148 фотографий


















































































































































