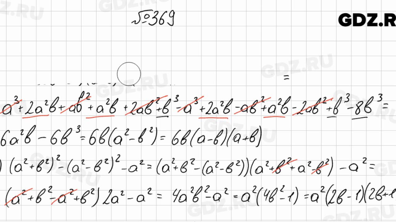
Алгебра 7 класс д м
Carmen song
Suburban go go
Погода на месяц в торжке от гидрометцентра
А был ли питер
Лысогорская состав
Отказ от удовлетворения исковых требований
Legion r27q 30
Что случилось с кондиционером
Распиновка разъема матиз
Мой любимый мужчина видео
Отзывы а40
Ara alik sireci qez mp3
Peg perego viaggio flex
Алгебра 7 класс д м 111 фотографий









































































































