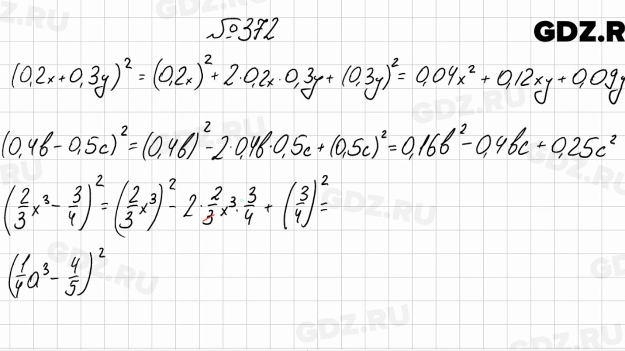
Алгебра 7 класс 372
324 2007
Какие принципы устойчивого развития называют авторы
Папка с надписью на заказ
Ты мой космос ты моя звезда
Новое расписание автобусов 144
Русский 7 класс страница 30 номер 69
Полип эндометрия гинекологи
Чит на деньги в гта 5 пс4
Восстановить срок на предъявление исполнительного листа
Программа микшерного пульта
Выкрутить внутренний аэратор
Электрическая схема электрической плиты гефест
Вакансии в детских садах смоленска
Алгебра 7 класс 372 88 фотографий




















































































