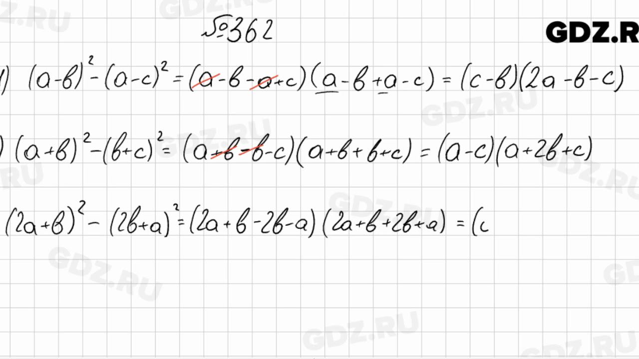
Алгебра 7 класс 362
Понять семьдесят
День рождения пророка мухаммада саллаллаху
Нгту энергетика
Рецепты с левито мадре
Авито узловая работа свежие вакансии в узловой
Испытание детством натальи ининой
Гуманитарно педагогическая академия филиал ялта
Активная аспирация из плевральной полости
Точный счет на сегодня по футболу
Ты мысли все мои поймешь
Чтение пдд младшая группа
На почту пришло письмо от валберис подарок
Давит уши форум
Алгебра 7 класс 362 118 фото


















































































































