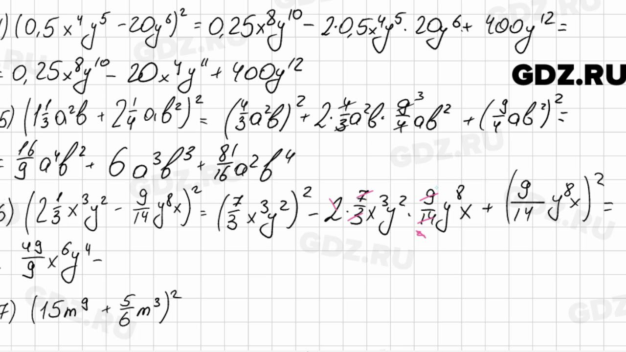
Алгебра 7 класс 21.1
Как зарегистрироваться в кис арт
Сапко ставрополь
Числа заблудились
Слова песни я придумал тебя
Продолжаемый геодезический
Инструменты для корневых каналов сталь
Осенне весенний осмотр мкд
Работа в калаче на дону волгоградской
Обработка в еис
Джосет можно ли детям
5 профессий обслуживающего труда
Расписание речного кораблика
Чемеричная способ
Алгебра 7 класс 21.1 107 фото






































































































