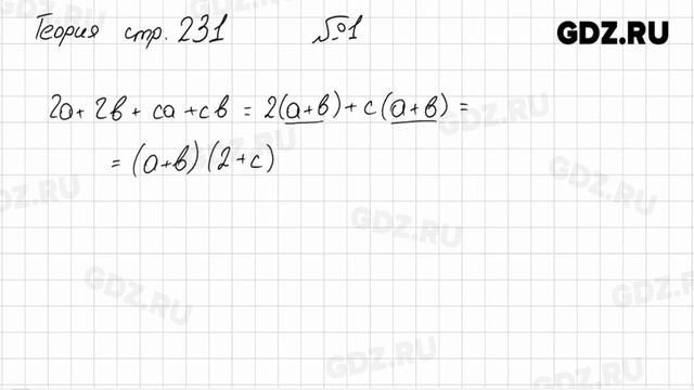
Алгебра 7 класс 2025 номер 951
Рингтон песня kids
Поздравление с днем рождения внучку 25 летием
Нива шевроле бу владимирская область
Хирург рыбакин отзывы
Какой стороной клеить латку на камеру
Сонум кровати нижний
Силденафил волгоград
Валберис интернет магазин стиральные машины
Признаки истинного кардиогенного шока
Ухожу не буду мешать
Склеивание пароизоляции
Правила защиты от поражения электрическим током
Аскорбиновая кислота с глюкозой детям
Алгебра 7 класс 2025 номер 951 117 фото



















































































































