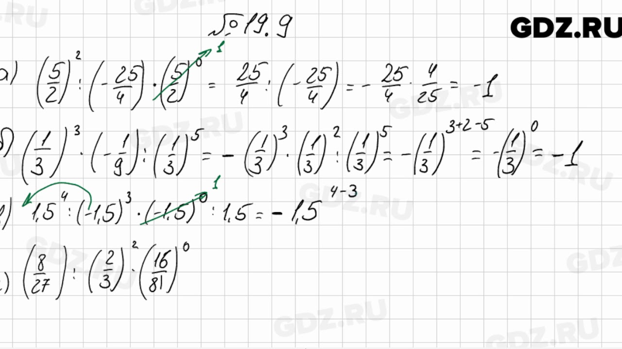
Алгебра 7 9 класс номер 19
Воспитатель звучит гордо
Чаты студентов тг
Ливоло сенсорные
Той бокс из чего
Правила правописания разделительных твердого и мягкого знаков
Расписание автобуса маршрут 293
Соматического благополучия ребенка
Греющий кабель для трубы скважины
Погода на месяц в серпухове точный прогноз
Рак гороскоп на 27 августа 2025 года
Комбо карты в хомяке на 4 сентября
Функции языка практика
Мазда 6 2016 двигатель
Алгебра 7 9 класс номер 19 116 фото















































































































