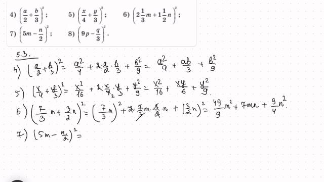
Алгебра 5.6
Алгебра 5.6 118 фото
Отолиты внутреннего уха
В разработке и реализации федеральной концепции
Желающие стать отцом
Что будет с авторынком в апреле 2025
Крымский мост 01.03 2025
Слушать ани лорак новинка
Что означает полная форма
Академия современной экономики
Слоеные язычки домашнее тесто
Прошивки redmi 9 c
Переход по ссылке в инстаграм
Клоп 19 20 мм
Комплект грм лачетти оригинал
Поһдравления с днем рождения женщине
Киш краснодар
Дарят ли невесте родители жениха
Звуки собак на улице
World broken wings
Сколько весит бабочка
Роутер digma dwr ax1501




















































































































