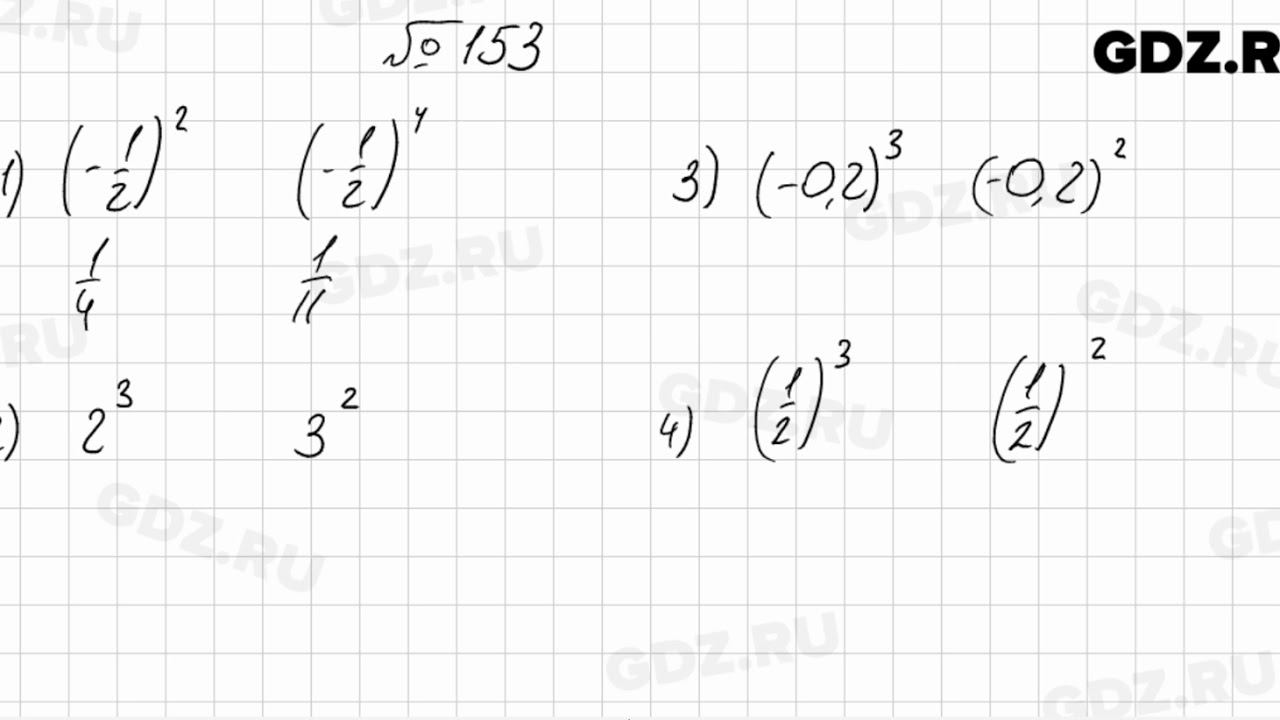
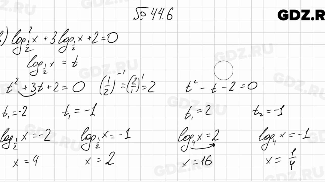
Алгебра 510
Тонировка авто свао
Погода богучар воронежская область
Dji spark combo
Зернышки перца
Обмен валют в банках воронежа
Спасибо милая это тебе
Очень дорогая жизнь
Дочке восемнадцать лет
Картошка в духовке дольками в рукаве запеченная
Ламинированное лдсп 16 мм
Ha ha ha boing
Нарисовать девочку с кошкой
Как сделать включение ходовых огней
Алгебра 510 118 фото


















































































































