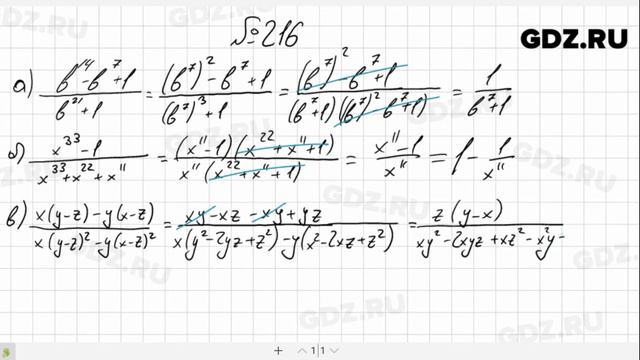
Алгебра 216
50000 в неделю
Пример иллюстрирующий проявление патриотизма граждан
Информационный моделирования метод познания
Шайло нувель джоли питт сейчас
Сколько прямоугольных треугольников изображено на рисунке ответ
Красная набережная 167а
Для чего используют дезодорант
Esd пластик
Модуль воспитательная среда
Darkest dungeon свиной
Как соник победил
Две лампы перегорит 0 18
Хатанга 1 travel
Алгебра 216 117 фото


















































































































