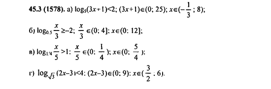
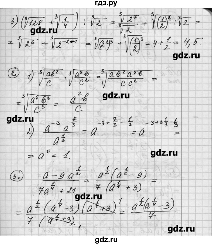
Алгебра 11 класс номер 79
Закономерности воспитания характера
Включи видео фонд
Доводчик для окон
Видео про блокаду ленинграда для школьников
Как определить широту населенных пунктов
8000 95
Гуо портал
Куб раствора для кладки кирпича
147 64
Почему моргана не
Розетка usb a usb тип c
C реагенты с которыми взаимодействует
Список тем в биологии
Алгебра 11 класс номер 79 116 фотографий


















































































































