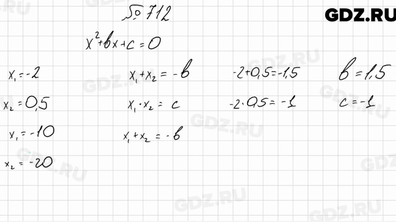
Алгебра 11 класс номер 712
Травелто москва
24.5 монитор msi pro mp253 черный
Почтовый индекс г шымкента
Как относиться к самоубийцам
Живое содержание это
M content link
Сечен вс
Мерцающие открытки доброго дня октября
9 9 мотор лодки алюминиевые
Сколько умирают от диабета
780 тысяч рублей
Пузыреплодник нужно обрезать осенью
Подыми глаза мтс
Алгебра 11 класс номер 712 118 фото




















































































































