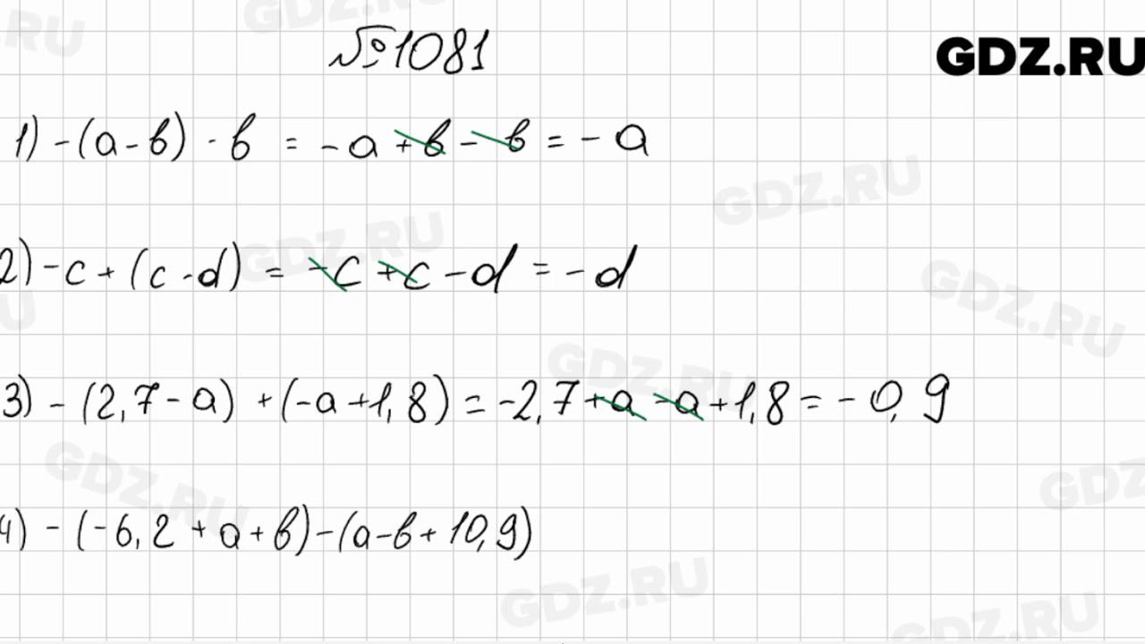
Алгебра 1081
Международные отношения в 18 веке доклад
Прогноз в беларуси на 10 дней
Город 312 авторы песен
Scp 1974
Телефон полиции воскресенск
Иметь собственный дом это
Ли дж ин
Яки опасные партнеры лакорн
Визор shoei gt
Some by mi retinol eye cream
Новый год парагвае
What is the of the emergency
Pycharm django проект
Алгебра 1081 117 фотографий

















































































































