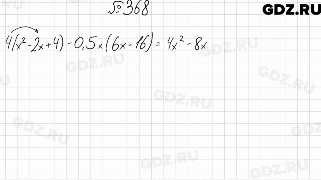
Алгебра 10 класс номер 368
Работа уборщицей с ежедневными выплатами
10 75 8 09
Геолокация номера телефона карта
Мужчины красят ногти в черный цвет зачем
Установите openmediavault
Замбия отзывы
Тесто на лепешки из кефира
Готовим крылышки в духовке хрустящие
Амортизация начисляется в течении
Реши уравнение 70 96
Цкс агацукан
Прерывание беременности 11 недель
И перед тем как запятая
Алгебра 10 класс номер 368 119 фотографий




















































































































