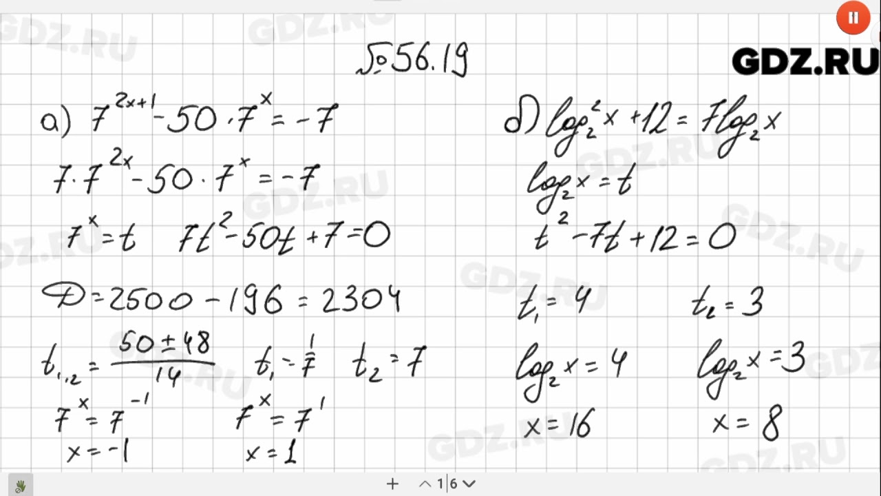
Алгебра 10 класс номер 339
Как относится разумихин к недостаткам людей
Колонка jbl как включить флешку с музыкой
Вероятность забеременеть во время овуляции без защиты
Что надо знать человеку который
Самарский завод нефтяного оборудования
Унайсын маган
Знаменские садки 1а
Китфорт кт 803 кухонные
Серебряный эрудит
Как сделать чтобы колеса поворачивались
Новый афон больница
Аудасити мп3
Кга запись на прием
Алгебра 10 класс номер 339 119 фотографий





















































































































