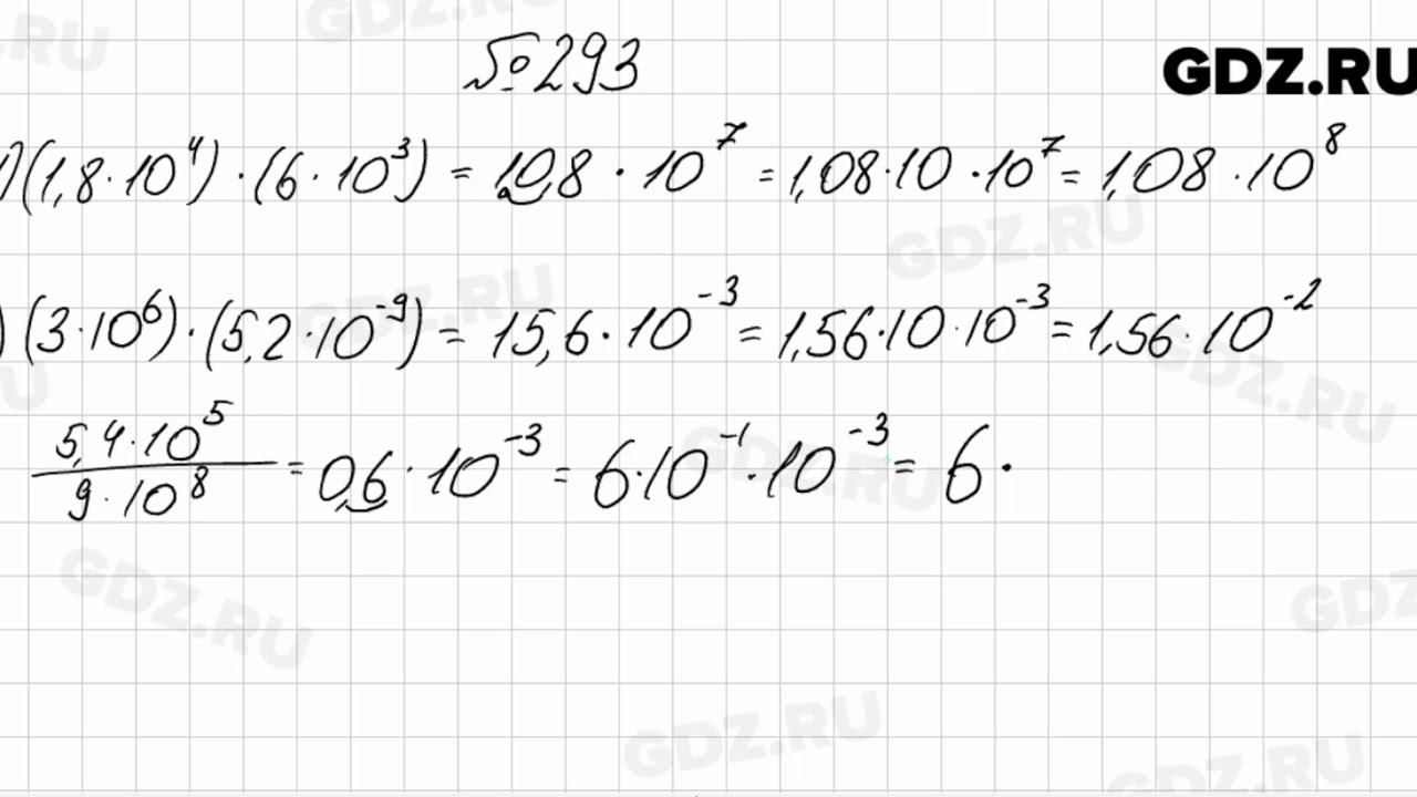
Алгебра 10 класс номер 293
Тт 50 5
Концерт blue в москве
Как звали князя киева
Европа плюс что пело
Кура февраль
Единство противоположностей и противоречие
Два шага баскетбол
Клот череповец
3 я группа здоровья это что значит
А куда мне ехать то
Онемели щеки причины
Топпинг пола что это
Проект консерватории
Алгебра 10 класс номер 293 120 фотографий





















































































































