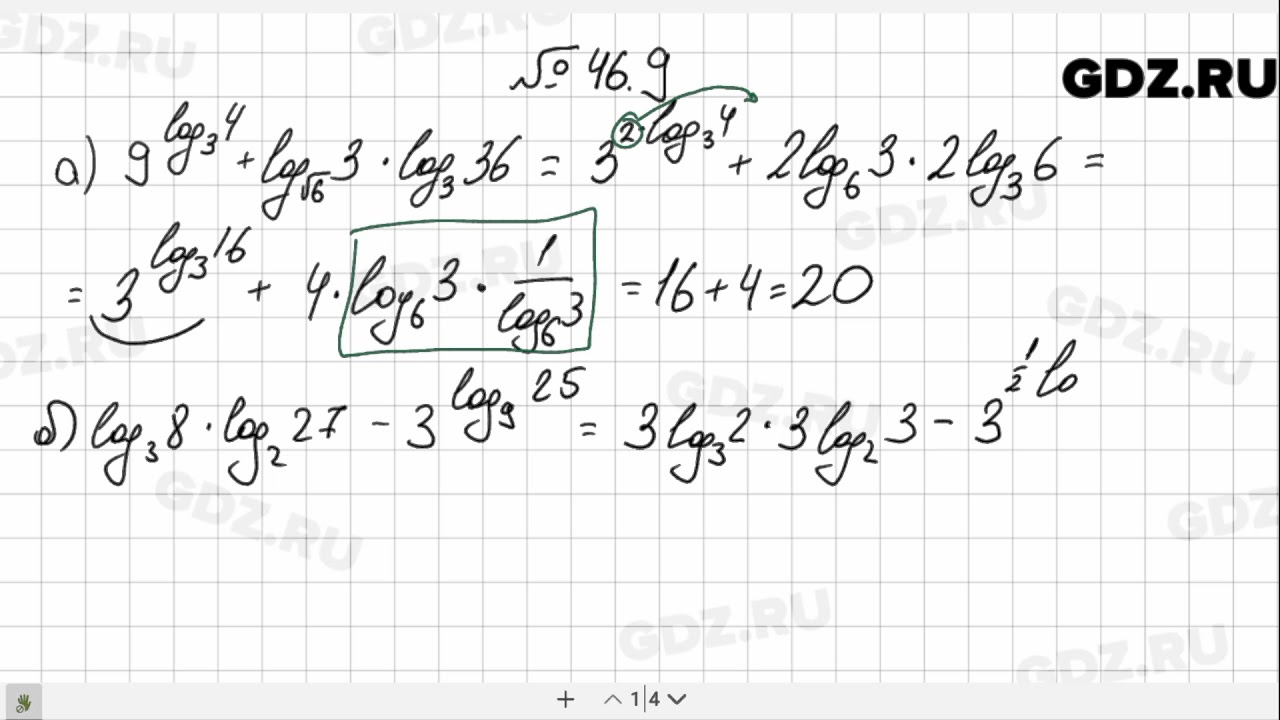
Алгебра 10 11 класс номер 9
Физика 9 класс перышкин краткие конспекты параграфов
Москва киевское направление
Песня первоклассник у тебя сегодня праздник текст
Oventrop 1 1 4
Время это он она
Песня рэмбо
Rig 500 pro
Прыжок с шестом задел
Фридом финансы курс доллара
Не обновляется айфон 7
Желтый стул у взрослого лечение
Единая система органов исполнительной власти это
1 который 2 и
Алгебра 10 11 класс номер 9 114 фото
















































































































