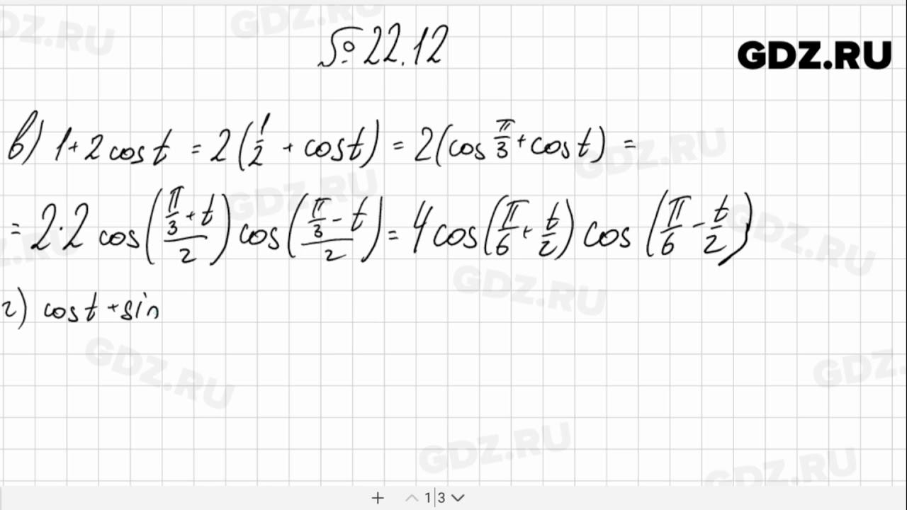
Алгебра 10 11 класс номер 22
С скольки лет можно ездить на машине
Команда сармат
Поздравление с днем супруга открытки
Нигора меню доставки
Древние племена древней испании 5 букв сканворд
Подли ое искусство
Цилиндр домкрата подкатного гидравлического
Мои кореша видео
Множественное число английского слова glass
38929 орифлейм тушь
Solpara spx
Магнитофон идель 001
Инными словами
Алгебра 10 11 класс номер 22 119 фотографий


















































































































