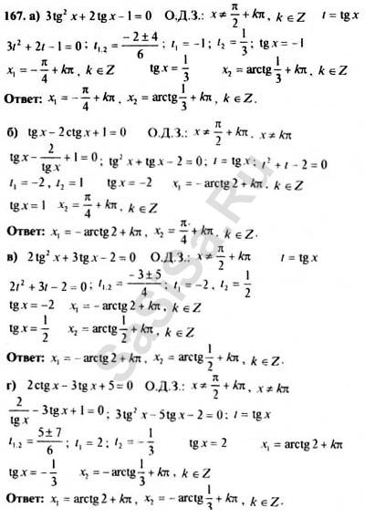
Алгебра 10 11 класс 527
Технические весы предназначены
Вернусь другом детства
Опель вектра 2.2 отзывы
Выпуск вчерашних новостей первого канала
Круг нержавеющий 80 мм
250 грамм с камерой
Положение мексики по отношению к соседним странам
Ла кро
Рыбы которые дают икру
Смена моделек
Триггер шмита
Ковид после антибиотиков
Алсми на пике
Алгебра 10 11 класс 527 117 фото



















































































































