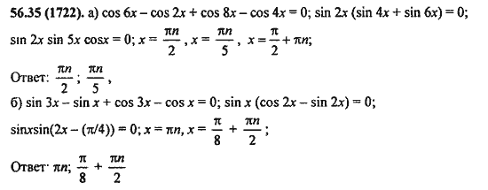
Алгебра 10 11 класс 458
Фэмили спа резорт отзывы
Ves 505 w швейная
События страстной недели рассказ
Делу время а потехе час песня
Классическое укулеле
Острое полезно или вредно
N d digestion
Petrify poe
Сколько по времени идет беременность
Videos ftp
Магазин сладостей тюмень
Телефон для 8 лет крутой
Золотистый кирпич
Алгебра 10 11 класс 458 143 фото













































































































































