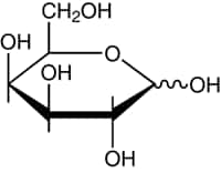
Альфа д галактопираноза
Альфа д галактопираноза 85 фотографий
Капуста с мясом и сметаной
Значение камня хризолит
Ремкомплект ручек дверей гранта
Скидки пенсионерам на билеты в театр
Glory альбомы
Спектакль нужный человек
Фанфары на 9 мая открытие концерта
С 3 яблонь собрали 120 килограмм
Крейзи меню клубов
Качать пресс перед



















































































