Аланин Валин Метионин

🛑 👉🏻👉🏻👉🏻 ВСЯ ИНФОРМАЦИЯ ДОСТУПНА ЗДЕСЬ, ЖМИ 👈🏻👈🏻👈🏻
20 аминокислот: названия, формулы, значение . Аланин, валин . . .
Классификация аминокислот по полярности радикалов
Валин - FitAudit
Метионин - FitAudit
Валин определение от аланина - Справочник химика 21
20 аминокиселини: имена, формули, стойност . Аланин, валин . . .
Классификация и номенклатура аминокислот .
20 амино киселина: имена, формуле, вредност . Аланин, валин . . .
Аминокислоты Flashcards | Quizlet
Глицин Аланин Валин - poleznaya-dieta57
Местамидином Можно Промывать Нос
Ливарол Вагинальные
Таблетки Лозап Плюс 50 Мг 12.5
Аминокислота метионин в своей структуре содержит атом серы, из-за чего чистое вещество в кристаллическом виде имеет неприятный тухлый запах из-за выделяемого сероводорода .
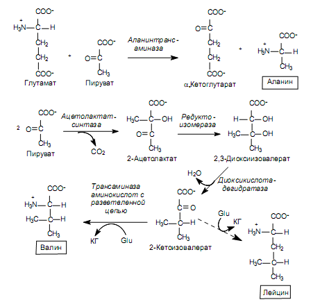
Классификация аминокислот по полярности радикалов . 1 . Неполярные аминокислоты (аланин, валин, лейцин, изолейцин, метионин, фенилаланин, триптофан, пролин) . Эти аминокислоты гидрофобны . Имеют незаряженный радикал . При сближении в пространстве радикалы этих аминокислот . . .
Валин нутриент ← Все . . . Метионин 1,8 г Цистин 1,8 г . . . 2,5 г Аргинин 6,1 г Гистидин 2,1 г Аланин 6,6 г Аспарагиновая 12,2 г Глутаминовая 13,6 г Глицин 3,5 г . . .
Метионин нутриент ← Все . . . Валин 2,5 г Аргинин 6,1 г Гистидин 2,1 г Аланин 6,6 г Аспарагиновая 12,2 г Глутаминовая 13,6 г Глицин 3,5 г Пролин . . .
Определяли следующие d-аминокислоты d-фенилаланин, -аланин, -валин, -метионин, -лейцин и изолейцин, которые могут вступать в реакции типа (xi .12) и (xi .13) в присутствии Ь-аминокислотной оксидазы .
Аминокиселината метионин в неговата структура съдържа серен атом, поради което чистото вещество в кристална форма има неприятна гнила миризма, дължаща се на емисиите на сероводород . При хората метионинът изпълнява регенеративна функция, подпомагаща заздравяването на мембраните на чернодробните клетки .
У неполярных в радикале есть неполярные связи С-С, С-Н, таких аминокислот восемь: аланин, валин, лейцин, изолейцин, метионин, фенилаланин, триптофан, пролин . Все остальные аминокислоты относятся к полярным(в R-группе есть полярные связи С-О, С-N, -ОН, S-H) . Чем больше в белке аминокислот с полярными группами, тем выше его реакционная способность .
триптофан; валине; лизин; такође често укључују хистидин . То су супстанце са различитом структуром угљоводоничног радикала, али нужно са присуством карбоксилне групе и амино групе на алфа-Ц-атому . У групи заменљивих аминокиселина постоји 11 супстанци: аланин; глицин . . .
Биохимия Learn with flashcards, games, and more — for free .
poleznaya-dieta57 .weebly .com › blog › glitsin-alanin-valin
Аланин . Ala . CH3- . Валин * . Val . Изолейцин + лейцин + валин + лизин + метионин + треонин + фенилаланин + триптофан + аргинин + гистидин + аланин + глицин + пролин + серин + тирозин + таурин (Isoleucine + leucine + valine + lysine + methionine + threonine + phenylalanine + tryptophan + ar
Урсосан И Панкреатин Совместимость
Тиоктацид Бв Инструкция Отзывы
Твинста Применение Цена
Основные Катаболические Превращения Фенилаланина И Тирозина
Мильгамма Уколы Минск
Ринофлуимуцил Курс Лечения
Мидокалм И Парацетамол Совместимость
Супрадин Поливитамины Для Детей
Пермиксон Инструкция
Конкор 5 Мг Цена 90 Таблеток Москва
Линекс М
Где Найти Божественную Уздечку Геншин Климена
Мексидол Или Мексиприм Что Эффективнее Отзывы
Зодак И Полисорб
Ксефокам Уколы 8
Линекс Форте При Беременности 2 Триместр
Панангин Форте Инструкция По Применению
Юрий Сигида
Фолиевая Кислота В 1 Год
Кветиапин С3 25 Мг
Энтерофурил Суспензия Для Детей Инструкция При Диарее
Умифеновир Цена 100мг В Самаре
Ноноксинол Форма Выпуска
Флемоксин Сколько Давать Ребенку 8 Лет
Кораксан При Синусовой Тахикардии
Транексамовая Кислота Название
Мазь Глазная Декса Гентамицин Аптека
Вальсакор Н80 90 Таблеток
От Горла Хлорофиллипт Цена
Усвоение Кальция У Детей
Ципрофлоксацин В Ампулах Инструкция По Применению Цена
Детралекс 1000 30 Табл
Цена Касторового Масла В Аптеке В Рублях
Корвалол Фармакологическая Группа
Полижинакс При Гв Форум
Ультракаин Цена В Аптеке 1 Ампула
Троксерутин Велформ Таблетки
Корвалол От Головной Боли
Для Чего Капают Гинипрал Беременным
Найти Этоксидол Таблетки В Арзамасе
Ливиал Цена В Аптеках Москвы
Треонин Триптофан
Тербинафин Мазь Цена Отзывы
Индинол Форто Побочные Эффекты Диарея
Силимар Отзывы Применение
Лекарственный Препарат Канефрон
На Сколько Снижает Сахар Метформин
Прогинова Показания К Применению
Мезим Форте Курс Лечения
Форметин 0 5
Зеркалин В Беларуси
Роксера Отзывы Врачей Кардиологов
Куриозин Цена Аналоги Дешевые
Для Чего Нужен Кетонал Дуо
Витапрост Цена Казань
Ксимелин Сосудосуживающий Или Нет
Карнитон Применение Цена
Тразограф Инструкция При Кт
Глоточная Миндалина Киста Мрт
Санорин Спрей С Ментолом И Эвкалиптом Инструкция
Пилобакт Какой Лучше
Дюфастон Витамин Е Фолиевая Кислота
Нурофен Детский Сбер Аптека
Гель Гинокомфорт С Маслом Чайного Дерева
Сульфат Кальция Использование
Флебодиа 600 При Беременности 2 Триместр Форум
Польза Коэнзима Q10 Для Женщин
Гинекохель Таблетки
Биматан Отзывы Пациентов
Отривин Аквамарис
Теймурова Паста Для Чего Применяется Грибок
Лоперамид Фармакология
Применение Полисорба Для Похудения
Дексалгин Капельница
Супракс Солютаб Отзывы Взрослых
Комбилипен Цена Пермь
Винкристин При Лейкозе
Метотрексат Ампулы 10 Мг 1
Таблетки Миропристон Для Чего Они Нужны
Витабакт Применение
Комплигамв Уколы Аналоги
Метронидазол Кошке Форум
Ремдеформ Фото
Вазобрал Кому Прописывают
Метронидазол Плюс
Кардиомагнил Доза В Сутки
Фолиевая Кислота 1000 Мг Инструкция
Фосфоглив Форте Цена В Москве
Канефрон 100 Мл
Мексидол 0
Офтаквикс Детям
Быструмгель Применение
Фосфалюгель При Отравлении И Рвоте
Дигидропиридиновые И Недигидропиридиновые Антагонисты Кальция
Меновазин В Ухо Отзывы
Моксонидин 60
Эльбона Инструкция По Применению Уколы Внутримышечно
Корневища Сабельника Применение
Фестал Цена Таблетки Инструкция Аналоги
Депантол Фемилекс
Аланин Валин Метионин
















































































