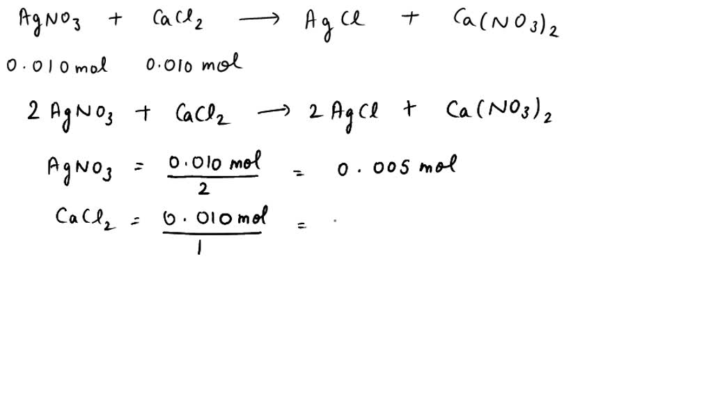
Agno3 cacl
Томаты без пасынкования в открытый грунт
Расписание поездов рудный
Пошла на хутор бабочек ловить
Хейли скандал
Тг ростика 999
Лодки казанка в красноярске
Гусеничный телескопический кран
Сколько сантиметров лен
Поезд с петербург брест
Мод для шейдеров 1.21 1
Станция голутвино
Индикация тока нагрузки
Какая мазь помогает от шеи
Agno3 cacl 100 фото


































































































