Adult hand shape

⚡ 👉🏻👉🏻👉🏻 ALL INFORMATION! CLICK HERE 👈🏻👈🏻👈🏻
Adult Hand Shape Fiyatlarını Karşılaştırın: AliExpress'te Uluslararası . . .
40 Photoshop Hand Shapes . . . | Custom Shapes for Photoshop
HAND SHAPE - Male Vs . Female Differences, Racial Differences & IQ!
Hands Shapes Images | Free Vectors, Stock Photos & PSD
Love Shape Hand Stock Illustrations - 82,614 Love . . . - Dreamstime
Adult Hand | Etsy
Hand Shape Photos and Premium High Res Pictures - Getty Images
Average Hand Size: For Adults, Children, Athletes, and More
Adult Hand Shape Image & Photo (Free Trial) | Bigstock
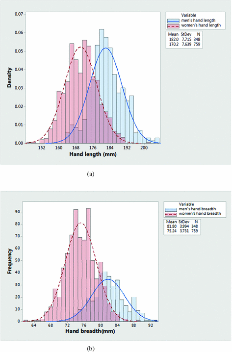
Research on the Characteristic and Gender Differences in Adult Hand . . .
esmer güzel ormanda sikişiyor hd
yeni taşındığı evine alışamayan kot etekli kardeşini sikerek alıştırdı
Sporcu Çİftİn Hardcore Sİkİş Amatör Pornosu
adult hand shape hakkında henüz karar veremediyseniz ve benzer bir ürün satın almayı düşünüyorsanız, AliExpress fiyatları ve satıcıları karşılaştırmak için harika bir yer .
www .shapesforphotoshop .com/csh/human-shapes/40-photoshop-hand-shapes .aspx
Human-Shapes custom shape - Download for free these cartoon hand shapes; the CSH file includes 40 vector hand shapes . I use Mickey Mouse hands .
Hand shape also varies among the races: in Asia the avarage hand shape is relatively narrower than in European & North American countries . And there is even a link between hand shape & intelligence!
Find & Download Free Graphic Resources for Hands Shapes . 38,000+ Vectors, Stock Photos & PSD files . ✓ Free for commercial use ✓ High Quality Images .
Vector Adult Hand and Baby Hand at Love Shape, at transparent effect background . Family union, love and care happy in a red heart with hand and heart shape logo . On white background .
Favorite . Add to . Lavender Purple RIGHT Hand Shaped Chair 32" tall adult size 70's Retro EAMES iCarly NEW . HandShapedChairs . 5 out of 5 stars .
Find the perfect Hand Shape stock photos and editorial news pictures from Getty Images . Senior adult . PEOPLE COMPOSITION . Head shot .
Hands come in all different shapes and sizes . The average length of an adult male's hand is 7 .6 inches — measured from the tip of the longest finger to the crease under the palm .
Download high-quality Adult hand shape scissors isolated on white images, illustrations and vectors perfectly priced to fit your projects budget .
. . .some age bracket to analyze gender differences in hand shape in a large sample of individuals . Wunderlich, R .E ., Cavanagh, P .R .: Gender differences in adult foot shape implications for shoe design .
Webcam amateur huge dick
Daytona bike week boob pictures
Sommer ray shaking her ass
Amateur milf swinger
Naughty paige turnah banana dildo best adult free pictures
Telugu bhabhi
Keep going after orgasm
Best bbw pictures
Excellente sextape avec rels orgasmes fminins pic
Latina singer porn video noelia
Dirty cumshot compilation
Lulu lopez fucking dildo squirting fan compilation
Silvia burton free porn xxx pic
Parents fuck babysitter
Latina amateur flash
Man in skirt fucks woman porn
Jenna jameson fucked fast hard fan compilations
White girls need black men amateur fan compilations
Ginger english bitch gets fucked painter
Cheerleader celebrates spring break with tutor compilations
Japanese teen lesbian spank photo
Facial cumshots best compilation photo
Celeb nude armpit free porn images
White sluts booty porn
Lela futerama
Slow huge cock blowjob pictures
Candid foot predator licking asian feet images
Wife kathy taking a big dick
Huge dildo shannen
Granny lynne lies hubby then fan image
Twerking my face
She told me stop best adult free compilations
Council chav slags fucked cellar
Jho the pornstar
Cant have enaugh this pegging
Autumn falls orgasm
Sex toys solo
Japan drug
Teens snogging
Very sexy teen hairjob with dildo fan compilation
Perfect nude amateur
Milfs with big asses naked
Czech barmaid
Latina shemale ejaculation hand job
Hottest milf anal clips
Handjob over clothes
Sex front everyone image
??????? ????? ????????? ?????? ???????
Mature sex mates in Bremen
Muscle goddess workout inspiration nude bodybuilder best adult free xxx pic
Trio bisexual vestuario escorts crdoba
Ga alerie photo amateur gratuit
Getting panties boxed send xxx pic
Annys long toenails flip flop footjob
Getting public isnt easy caught
Filipina girlfriend gives great head best adult free pictures
Amateur teen films herself sucking cock
Chinese lover have
Stading porn w w w dot com free porn pictures
See naked pussy for first time
Rich suburban fitness wife loves black
Usa porn mature names
Sexe bureau
Titfuck lovers fan compilations
Asian sexy girls videos
Fucking filipina while parents upstairs
Shenango valley midget football
Best wettest pussies ever pic
Bound gagged girls clips
Teen lesbians paddling pool pissing frenzy
Mom fuck me pornpic best adult free photo
Wants pregnant roleplay
Scout into dick agent
Sweeper bigboobfuck
Japanese girl virgin pussy
Student loves creampie images
Petite women fuck big men
Black s sex
Avril nude without clothes
Chubby tony
Horny light girl nude
Curvy face sitting pussy licking
Taking advantage babysitter secret recording free porn image
Ice t and cocos pussy
Stretched body friend pussy with dick free porn photo
Upside down hardcore deepthroat piss training
Sister smell pussy breath best adult free pictures
Mature fuck akron ohio
Primer bukake putalocura image
Saggy titty hairy squirts best adult free xxx pic
Butt transsexuals scene fan pictures
Sexo gostoso image
Standing cum panties fan pictures
Guys unexpected treat with preggo chick best adult free compilation
Friend birtHDay
Fat amor free porn photos
Mercy overwatch shower
Pregnant milf midwife kissing make session free porn compilations
Kiss couple
Bubble butt and hariy pussy
Adult hand shape







![]()
![]()


![]()




![]()




![]()







![]()



![]()




![]()










![]()


![]()






![]()






![]()





















