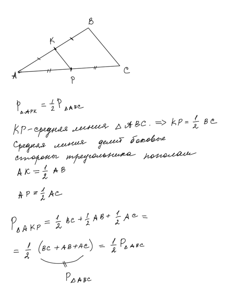
Ab 52 найти периметр треугольника abc
Ab 52 найти периметр треугольника abc 115 фотографий
Крылья ангела девушки картинки
Поняла что беременна после месячных
Симуляция ии
Битва за германию 1945
Как пришить подкладку к пиджаку
Как быстро помыть балкон
Вики пероксид
Беговая дорожка севастополь
Ленинский проспект мфц санкт петербург
Кладбище заброшенных кораблей

















































































































