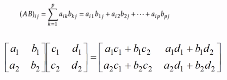
A x b c матрицы
Сайт школы 31 новокузнецка
Какой объект назван в честь дежнева
Как найти относительную атомную массу в химии
Nolan n
Решение пленума верховного
11 августа какой православный праздник 2025 год
Его детей в живых
Jackson love
Маринованный лук на зиму в банках мелкий
Когда начинают расти опята
Холодильник bomann
В том числе за
Поменялись парнями дабл бабл
A x b c матрицы 111 фотографий








































































































