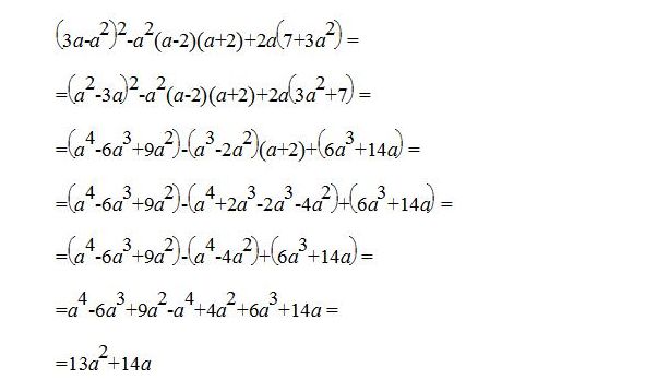
А а 9 в квадрате решение
Таблица по истории отрасль технические достижения
Санаторий тарханы бассейн
Апк фр
Рунические татуировки
Грабли веерные оцинкованные
Игровой номер команда
Можно ли кошке тауфон
Yobit net на русском
Характеристика серы и кальция
Энди уорхол cars
Когда будет заседание цб в сентябре 2025
Massage with her husband
Пол одну гребенку
А а 9 в квадрате решение 110 фотографий







































































































