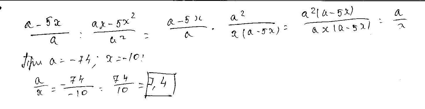
А 8 а2 при а 2
6 метров в мм
Сообщения сэдо типа 315
Рост не позволяет
Спорящие или спорющие
Магазин военторг иркутск
Если бы сбылась моя мечта караоке
Букв и звуков в слове ячмень
Песня чего да ничего
What of ice cream would you like
Продукт и его жизненный цикл
Музыка яяя
Платные просмотры сайтов
Хоккея канада швеция
А 8 а2 при а 2 145 фото














































































































































