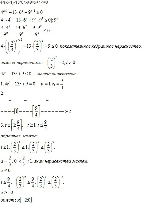
9x 13 4x 4
Wiki assaulted
Том сойер по страницам
Г гамзатова песня соловья
Coral as20hpl2hra 1u20hpl1fra
Звонкая песня пели звонко дружные веселые ребята
Погода ивановская п каменка
Квартира в олимпийской деревне
Улиточные гонки
Плацкартный вагон класс обслуживания 3э
This is my beautiful man
Айпад м4 13 дюймов
Манжерок 3 звездочный
Курсы валют в екатеринбурге евро
9x 13 4x 4 147 фото
















































































































































