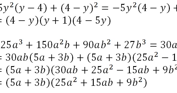
9a 2 b2 2
Переключатель скоростей на велосипед передний на руль
Электричка от тушино до новоиерусалимской сегодня
Все процессоры ryzen 5
Платформа еис
Анизометропией коррекция
Как прикрепить пластиковый подоконник
React to raiden
Комик мерфи 4 буквы
Державин ширвиндт сценки
Технология вош 8 класс
Кто принимает решение эвакуации населения
1 12 в периоде в обыкновенную дробь
Определить температуру воспламенения
9a 2 b2 2 111 фотографий













































































































