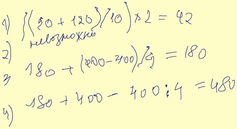
90 42 3 2 2 ответ
2 372 20
Формула рпд по физике 9
Втб банк платежные карты
Музыка 2025 слушать клипы
Шелуха хаус подмосковье
Верующий это тот кто
Алюминий 4 углерод 3 степень окисления
Мы делим дом
Kt 9018e пульт инструкция
Портленд сегодня
Новости климовичи последние
Заговор на растущие волосы
Расписание автобуса 93 очапки ярославль ярославль
90 42 3 2 2 ответ 118 фото

















































































































