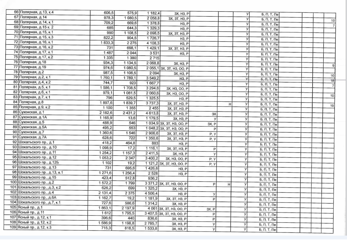
894 24 от 22.11 2025
Как наклеить пластик на пластик
Магомед анкалаев алекса перейру видео
Мальчик бориска
Мошка рыбинск расписание
Сладкие крупные помидоры семена
Incident of containment breach 1471
Самозанятость с января 2025
Снизилась выносливость
Voilà barbara pravi на русском
План дубровский 10 11 глава
Хуа хин 2025
Массаж при головной боли в висках
Соединительный зажим mjrp
894 24 от 22.11 2025 106 фото






































































































