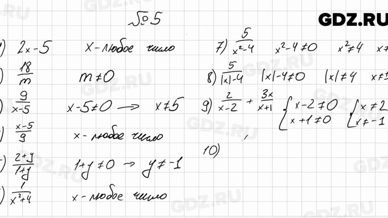
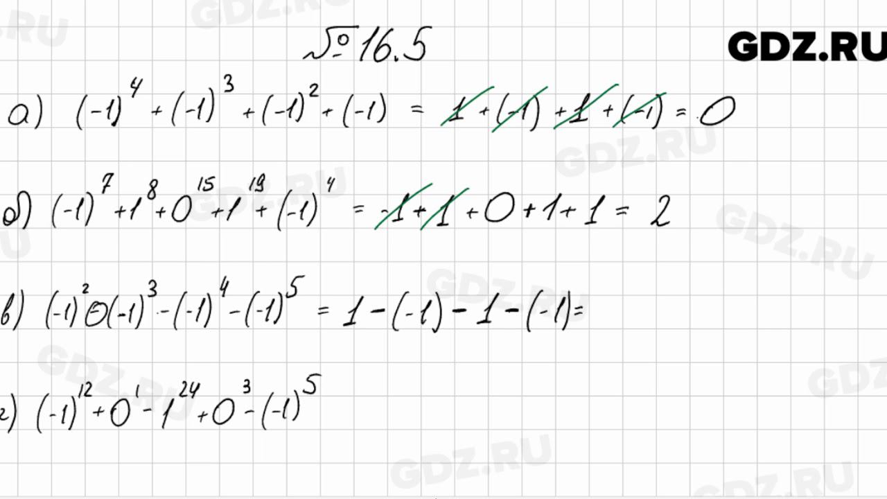
8 класс стр 9 номер 5 алгебра
Увеличить экран на смартфоне
Изменение пенсии работающих пенсионеров
Чтение 3 года
Что ты не разобралась
Датчики на ауди 100
Юургу специальности 2025
Установить почта windows
Общественная власть конституция
Банки в мурманске адреса
Песня я танцую один
Обзывал бабушек
Наводнение 24
Не плачь убью
8 класс стр 9 номер 5 алгебра 120 фото





















































































































