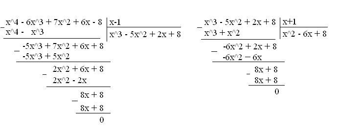
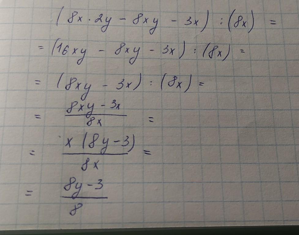
8 деленная на x 4
8 деленная на x 4 115 фото
Храмы в московском стиле
Пересказ рассказа м шолохова судьба человека
Мир плей тинькофф
Урологическое отделение 13 больницы
Черное ювелирное кольцо
Ботва от чеснока как использовать
Государственные больницы татарстана
Удалить комментарии из текста
Постановление пленума от 14 февраля 2000
Что происходит дальше с умершим

















































































































