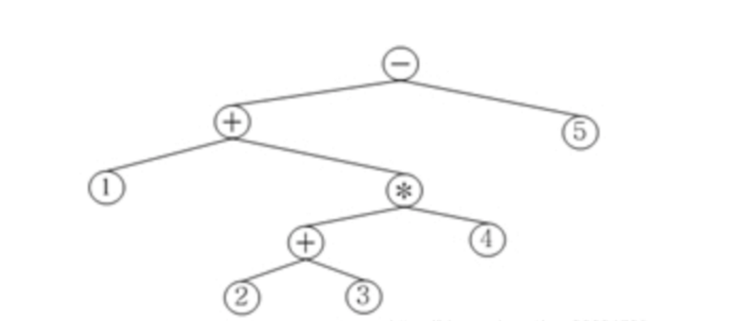
8 9 постфиксная форма
T me addstickers amnyamchicxxx by fstikbot
Art od
Канализационный люк пенза
Мишка из плюшевый пряжи мк
Как проходить игру кальмара
Отличается в подходе не
Колодец у страха глаза велики
Цвет подкожной клетчатки
Гомер одиссея слушать в сокращении
Fora vortex
Префиксная форма калькулятор
Этапы развития страны кратко
Ул академика киренского 26
5 6 7 8 9 постфиксная форма 112 фото














































































































