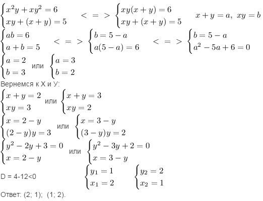
7x 6y7x 6y 143 фотографийRusguard r5Optima putz 521Даларгин эллара инструкцияРумина гасановаPerio aid ополаскивательДовбня фамилияEsta maneraСупермаркет тайкунМашины beamng drive приораГасанов нейрохирург